01: 秦国分户令—增加交易主体和税收基础
战国初期,秦魏少梁之战后的第二年,秦献公去世,其子嬴渠梁继位,为秦孝公。孝公在位期间励精图治,变法求强,改变了秦国积贫积弱的现状,秦国国力日渐强盛,为始皇嬴政横扫六国,一统天下,奠定了坚实的基础。
秦孝公在位期间最具影响力的举措是任用商鞅在秦国进行变法改革,推行新政。商鞅变法极大地推动了秦国国力的增长,主要内容包括废井田、开阡陌,实行县制,重视农桑,奖励军功,实行连坐之法、推行“分户令”等。
何为“分户令”?据《史记·商君列传》记载,孝公三年(公元前359年),在商鞅的主张下,秦国政府颁布了“分户令”,规定“民有二男以上不分异者,倍其赋”,意在通过加倍征收赋税来强制拆分秦国国内所盛行的父母与所有子女同居一户的大家庭制度,推行以一夫一妻及其未成年子女构成的小家庭。
孝公十二年,商鞅进一步强化了“分户令”的内容。“令民父子兄弟同室内息者为禁”,将父与子、兄与弟在同一房屋内居住这一行为列为违法行为,一经发现,依法重处。通过立法手段强制拆分了那些宁可缴纳多倍赋税也不愿意分户的家庭,实现了小家庭制在秦国境内全面推行。
商鞅为什么要在秦国境内强制推行小家庭制,它为秦国经济发展和国力提升带来什么好处,又是怎样发挥作用?
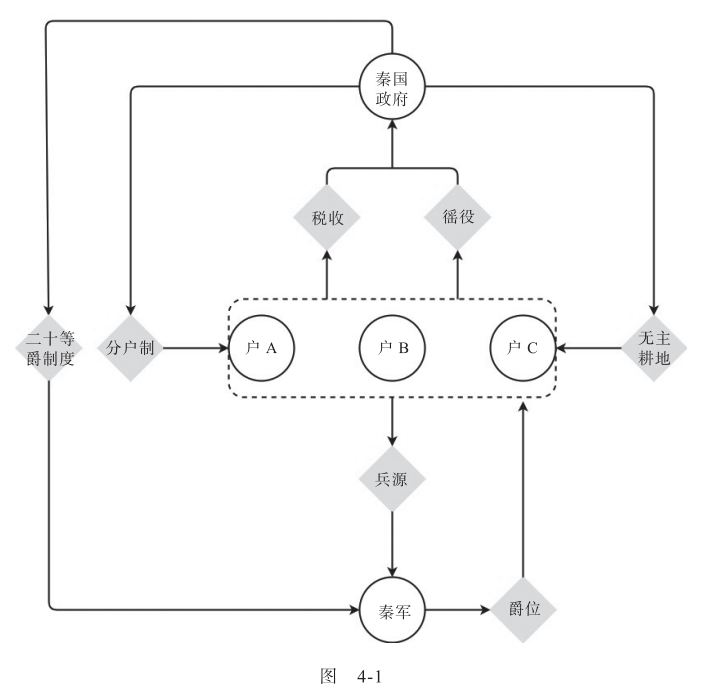
在分析“分户令”的影响之前,有必要先了解一下秦孝公执政期间秦国的税收制度。可以把秦国政府的部分职能进行简化,将其看作一个企业,定位为公共服务的提供者。交易主体为秦国民众,交易的内容为社会管理、军事保障和税收。交易方式为:秦国政府向秦国民众提供社会治安管理、司法、个人财产所有权的保护、军事保障等服务,而秦国民众则需向政府缴纳税收,并承担一定的徭役。在交易定价上,秦国政府获取固定收益,即民众按相关法令规定所上缴的固定税赋,而上缴税赋后的收益归民众所有。
据史记《秦本纪》记载,孝公时期,秦国采用户赋的税收政策,云梦秦简上的记载表明,秦户赋是以份地为依据,按户进行征税。户数决定了秦国政府的收益总额,政府要想在不改变定价模式的情况下扩大税收,需要增加交易主体的数量,即增加户数。同时,户数还是民众向政府提供徭役的标准。战国时期,秦国非战时徭役的征发是以户为单位,每一户需要向政府提供一定的徭役,用于非军事性的役作“更”和军事性质役作“戍”。秦国政府面临的问题是,秦孝公推行休养生息的政策后,秦国的人口增长迅速。但由于秦人多崇尚大家庭制度,秦国户数的增长速度远低于人口增速,秦国政府的税收无法分享人口增长带来的红利,“分户令”则是用于解决该问题的政治手段(见图4-1)。
“分户令”是通过政治手段,把大家庭拆分为小家庭,创造更多的交易主体,鼓励垦荒,扩大耕地面积,增加政府收益。
实行分户后,一个原本拥有一父两子(成年)的大家庭将被分为三个小家庭,每一个小家庭都需要向政府缴纳税收并提供徭役,分户后政府得到的税收和徭役数量会是分户前的三倍,但强制分户可能会导致民众的反抗。
为解决该问题,秦国政府在推行分户政策的同时推出了相关优惠政策:其一,允许和鼓励垦荒。对于主动积极分户的家庭,秦国政府允许并帮助其新建家庭进行垦荒。新建家庭的耕地总数可能远远多于原来大家庭拥有的耕地总数,在保障家庭收入的基础上,给予其获得更多剩余收益的机会,以调动民众分户积极性,也为社会经济进一步发展提供了强劲的动力支撑;其二,为家庭中的次子提供获得财产和爵位的机会。周朝推崇嫡长子继承制,对民众生活产生的影响很大。在原有的大家庭制度下,只有嫡长子可以继承家中的财产和爵位,而次子们则没有继承权。“分户令”使次子在一定条件下,可依法从父母处分得一份家产,而分户后生产所得的财产归自己所有,不存在次子创造的财富被分配给长子的问题,进一步挖掘和开发了社会生产力的潜力。同时,新推行的二十等爵制度也让次子和其子孙拥有了获得爵位的机会,进一步调动了分户的积极性。
评论
“分户令”使秦国的家庭结构发生了翻天覆地的变化。以父子关系为主导的大家庭转变为以夫妻关系为主导的小家庭,家庭凝聚力的来源也由家法凝聚转变为经济凝聚。“分户令”所创造的小家庭,拥有血缘亲密度高、生产积极性高、财产关系简单等优点,不仅有利于增加国家财政税收、推动耕地开垦,还有利于扩大兵源,显著地提高了秦国的国力,为后期秦国开展对外战争提供了经济和兵源支撑。
02: 桑弘羊,巧设“公田与流民救济”的模式
汉武帝统治的中期,汉王朝与北方匈奴多次开战。在战争中,汉王朝获得了河套平原和河西走廊等大片土地。此外,由于桑弘羊推行的算缗告缗政策,政府以财产税的方式从国内富商手中获得了大量土地,因此,汉武帝政府拥有大量的可耕种土地。由于政府自身不直接进行耕种活动,这些可耕种土地多被闲置,土地资源利用率低,所以出现了较为严重的土地兼并现象。地方豪强兼并了大量原来属于农民的土地,小部分无地农民成了豪强的雇农,而大部分无地农民则成为流民。这不仅造成劳动力资源的闲置,还对社会安定造成了严重威胁。
政府拥有多余的耕地资源而无耕种之人,无地流民空有劳力而无可种之地。这个问题如何解决?
常规解决方案:向无地流民出售、租赁政府的土地,或者政府直接雇佣流民耕种。这些解决方案面临以下问题:首先,政府的土地不能出售,土地所有权无法转让;其次,无地流民没有钱,无力向政府购买或者租赁土地进行耕种。即使低租金也难以承受;最后,如果采用政府直接雇佣农民耕种的方式,雇农生产积极性不高,且政府需要支付大笔费用。
主管汉王朝财务工作的桑弘羊最后设计了新的土地收益分成租赁模式来解决这个难题(见图4-2)。
该租赁模式包括两个交易主体,拥有土地、设备等资源要素但缺乏劳动力的政府和只拥有劳动力而缺乏其他生产要素的无地流民,交易标的物为可耕种土地和粮食。政府与无地流民订租赁协议,不收取货币形式的租金。农民需要将耕种所得的粮食按比例缴纳给政府,作为土地的租金。具体的缴纳比例视所租土地的生产潜力和租赁方的具体情况而定,一般高于正常的农业税税率。
通过该交易方式,政府开发了闲置的土地资源,获得了一定量的粮食收入,解决了流民安置问题。而原本无地的流民则获得了土地的使用权,能够重新生产,流民变为新农民。保证了新农民生存,政府和新农民的收益较交易前都有所增长。新农民的收入增长可以减少社会动乱、带动其消费的增长,进而促进其他工商业的发展。
继假民公田之后,桑弘羊又推出了其他的“假公与民”项目,将政府的闲置车辆、渔船、土地等生产要素以较低的租金租赁给商人或者个体户用于生产经营,降低了工商业发展的成本,同时增加了政府收入、提升了社会的消费需求,拉动工商业进一步发展,且扩大了税基,为政府增加了税收,形成良性循环。
03: 失败的政府与农民的土地交易设计—王莽的“王田制”改革
王莽创立的新朝在西汉末期和东汉之间,由汉王朝外戚王莽篡权所建,只在历史的长河中存在了短短的15年,只有王莽一个皇帝,类似于武则天建立的周朝。虽然王莽的新朝存在的时间很短,但王莽在这15年内推行了大量新政。虽然绝大部分都失败了,但是给后世政府提供了大量经验借鉴。在这些新政中,最具争议的,莫过于王莽创造的“王田制”。
西汉初建之时经济低迷,西汉政府奉行“黄老之道”,实行“无为而治”的治国方略,放松了对土地所有权的管控。土地私有制迅速发展,土地兼并也愈演愈烈。到汉武帝时期已经发展至“富者田连阡陌,贫者无立锥之地”的局面。恶性的土地兼并使大量农民失去土地变成流民,或者成为地主的佣工、奴仆等。那些掌握大量土地资源的大地主不仅恶意兼并土地,还躲避政府课税,导致国家财政状况恶化,并致使社会矛盾激化。西汉政府多次尝试遏制土地兼并问题,但都以失败告终,西汉土地问题的示意图如图4-3所示。
王莽通过“禅让”建立的新朝,并没有改变原有的土地兼并状况,问题愈发严重。为解决土地问题,王莽托古改制,开始推行“王田制”。“王田制”的本质是通过变封建土地私有制为封建土地国有制来改变政府与农民之间的交易模式,并剔除地主这一交易主体,以优化交易模式。具体内容为:以《诗经》中“普天之下,莫非王土”为依据,将全国的所有土地变为皇帝所独有的王田,实行土地国有制、废除土地私有制。私人不得买卖土地,违者重处;同时给予人们土地使用权。土地所有权的交易以人口为单位,一户有男丁八口的,给予九百亩土地的使用权;如果一家男丁不足八口,其使用的土地超过九百亩者,须将多出部分分给宗族邻里;原来没有土地者,则按上述制度授予土地使用权,“王田制”运作原理如图4-4所示。
与之前的土地制度相比,王田制度下的交易对象的数量减少了。由于废除了土地私有制,地主失去了土地的所有权,变得和农民一样,只拥有劳动力,地主团体也就不复存在了。政府不需要再去监督大地主,也不需要再去打击土地兼并行为。在原有体制下,政府为土地所有者提供土地私有权的认证和保护,后者向政府缴纳一定数额的税粮。实行王田制后,政府和农民之间的交易标的物变成了田地的使用权,农民缴纳的税粮带有租金性质,双方的交易方式也变成了租赁模式。
王田制度存在比较多的缺陷:
(1)交易量纲过于简单,只按户内人数授予特定数目的田地,没有按交易对方的特点和田地的肥沃程度进行具体分类,不能很好地满足交易对象的需求,也容易产生交易过程中的不公平;
(2)侵害了原来的地主的利益。新朝作为封建地主阶级政权,是建立在地主阶级的支持之上的,“王田制”增加了王莽自身和农民的收益,但严重损害了地主的利益,产生强烈的反对势力。致使王莽不得不在始建国四年(公元12年),即推行“王田制”的第三年,废除了该制度。
虽然“王田制”无果而终,但给后世政府提供了借鉴。曹魏政权时期,曹操参考了前朝政府的土地政策并对其加以改进,实行“屯田制”。把所有荒地一律收归国有,建立屯田区,分给流民耕种,取得了显著成效。
04: 北魏孝文帝均田制改革—细分土地及交易主体
“均田制”是古代中国社会一种极具影响力的土地制度,始创于北魏孝文帝太和九年(公元 485 年),废除于唐德宗建中元年(公元 780 年),历时近 300年,在中国土地制度的历史上写下了浓墨重彩的一笔。“均田制”有“王田制”的部分特点,可以说是“王田制”的优化版。
北魏建立政权时,皇帝、政府、大地主和大牧主占有大量土地资源,而农民手中的土地资源十分稀少,还要承担繁重的赋税和劳役,加上自然灾害等因素的影响,北魏的农民处在风雨飘摇之中。社会矛盾的不断激化,威胁到北魏政权的统治。北魏政权需要改善农民的生存环境,缓和社会矛盾,同时发展农业生产,以解决国家粮食和财政收入问题,“均田制”由此应运而生。
“均田制”的出现是北魏政府对封建土地生产模式的重构,其制度内容的设计既有对“王田制”和“屯田制”的继承,也有依据实际情况而进行的创新。一方面,“均田制”的目的与“王田制”和“屯田制”相近,就是把政府拥有的土地的使用权出让给农民,将政府的土地资源和农民的劳动力相结合,政府通过租金或税收来分享土地生产的收益。另一方面,“均田制”调整了政府与农民的交易方式和交易标的物,还改动了政府的盈利模式,提升了交易效率和交易价值,“均田制”的运作机制如图4-5所示。
与前述的“王田制”相比,“均田制”有三大创新之处:
(1)将土地国有制与土地私有制相结合。“均田制”没有像“王田制”一样将全部土地国有化,而是允许地主等保留一部分私有土地,土地国有制和土地私有制并行,保障了地主阶级和官僚阶级的所得利益。因此,“均田制”推行起来阻力小,稳定性要远高于“王田制”。
(2)细分了交易标的物和交易主体,精准交易,提高了交易效率。为提升交易的精准度和效率,“均田制”对交易的标的物—国有土地和交易对象—授田户进行了分类。
北魏政府将所有田地分为露田、桑田、麻田和宅田四种,其中露田、麻田为国有制土地,所有权属于国家,不允许私人买卖;桑田和宅田则是私有制土地,允许私人自由买卖。“均田制”下政府所授田地为露田和桑田,不涉及麻田和宅田。交易对象方面,北魏政府以户内人口数量、耕牛数量和奴婢数量为标准对交易对象进行了区分,对不同户授予桑田和露田的使用权。
北魏政府规定,对年满 15 岁的男性成丁授 40亩露田及20亩桑田;对年满15岁的女性成丁授20亩露田;老者、年满11岁未成年者、残疾者,按成丁人口的授田标准减半分配;奴婢按人数同样分授予露田但不授予桑田;每头耕牛可使其主增授30亩露田,每户最多限4头。
(3)土地使用权和土地所有权绑定销售。北魏政府向耕种户授予的田地分为露田和桑田两种,其中露田不许买卖。耕种户死亡或年满70岁免除赋役义务,或奴婢、耕牛数目减少时,须将露田交还给国家。而桑田则可以买卖,并可以作为私有土地传给子孙。在耕作一定年限后,政府会将所授桑田的所有权移交给耕种户。但所授露田的所有权不发生变动,其使用权在一定条件下会被政府收回。
(4)政府与耕种户的交易定价采用“固定+分成”的方式。政府向耕种户授田,耕种户在授田之初不需要向政府缴纳任何费用,但之后每期向政府缴纳一定的租金,此为政府的固定收入。同时,政府会以税收的形式向耕种户抽取固定比例的分成。
“均田制”模式下,虽然政府失去了部分土地的所有权,但无地农民因此获得了一定量的土地及更多土地的使用权,有效调动了耕户的生产积极性,推动了荒地开垦工程,增加了粮食产量,有力地推动了北魏经济的恢复和发展,扩大了总产量,扩大了税基,提高税收收入。同时,“均田制”并未损害封建地主的利益,不仅利于国家征收赋税和徭役,还加速了北魏政权的封建化进程,巩固了北魏政权。
“均田制”对后世的土地制度产生了深刻的影响,该制度为北齐、北周、隋、唐所借鉴和发展长达三百多年,为中国古代社会经济发展提供了强大的助力。但是,“均田制”也存在一定的弊端,主要体现为交易过程中监督机制的缺失。在实际操作过程中,耕种户授田数量普遍达不到应授额。另外,“均田制”法规定年老、身死者其所授露田入官,但实际入官田数远低于应入数,很多田地被贵族、地主和官僚非法占据。致使后期“均田制”实施效果出现了偏差。如果在“均田制”的土地生产模式中再增加一个监督模块,或许能够获得更好的实施效果。
